Tuberkulosis (TB) adalah penyakit menular yang disebabkan oleh infeksi bakteri Mycobacterium tuberkulosis (Mtb) yang biasanya menyerang organ paru-paru, namun juga dapat menyerang bagian tubuh lainnya. TB adalah salah satu penyakit menular yang menjadi masalah utama kesehatan masyarakat dunia terutama di negara berkembang, termasuk Indonesia. Sebelum pandemi virus corona (COVID-19), TB merupakan penyebab kematian terbanyak kedua terkait agen infeksius, setelah Human Immunodeficiency Virus (HIV). World Health Organization (WHO) memperkirakan sepertiga dari populasi dunia telah terinfeksi oleh bakteri Mtb. Pada tahun 2019, laporan WHO memperkirakan terdapat 1,2 juta kematian akibat dari TB di antara orang dengan HIV negatif dan terdapat sekitar 208.000 kematian oleh TB di antara orang dengan HIV positif (Chakaya dkk., 2021) (Organization dkk., 2022).
Bakteri Mtb ditularkan melalui droplet dari individu yang terinfeksi TB aktif. Tetesan ini dapat terhirup oleh individu yang berada di dekatnya. Selanjutnya bakteri Mtb mengalami masa perkembangbiakan dan replikasi. Infeksi TB laten tanpa gejala merupakan hasil dari proses ini (Getahun dkk., 2015). Mayoritas individu yang terinfeksi oleh bakteri Mtb dapat mengendalikan infeksi, namun tidak sampai infeksi benar-benar hilang, bakteri Mtb masih menetap pada kondisi laten (Marino dan Kirschner, 2004). Menurut studi pemodelan global pada tahun 2016, sekitar 1,7 miliar orang terinfeksi bakteri Mtb secara laten, atau sekitar 25% dari populasi global (Houben dan Dodd, 2016). Individu dengan kondisi imun yang baik dapat mengendalikan infeksi tanpa berkembang menjadi TB aktif, yang berarti individu tersebut tidak dapat menyebarkan penyakit (Emery dkk., 2021). Hal ini menunjukkan bahwa individu tersebut telah berhasil membersihkan infeksi, namun masih memiliki ingatan terhadap infeksi (Behr dkk., 2019). Orang dengan HIV atau individu yang terpapar faktor risiko seperti konsumsi alkohol, merokok, diabetes, dan kekurangan gizi memiliki peluang lebih tinggi terinfeksi TB (Organization dkk., 2022).
Pemodelan matematika memiliki peran besar dalam kehidupan. Salah satunya adalah penyelesaian kasus TB, peran matematika dan sains diperlukan baik untuk prediksi maupun penanganannya. Penelitian ini mengembangkan model matematika dinamika populasi bakteri penyebab TB di dalam paru-paru dengan mengevaluasi pengaruh kompetisi bakteri terhadap prevalensi infeksi dan respon yang dimediasi sel imun dan sel makrofag. Pemodelan ini kemudian dapat menjadi landasan informasi peringatan dini infeksi TB untuk mengimplementasikan strategi pengendalian TB yang terbaik.
Model pertumbuhan infeksi Mtb di dalam paru-paru yang dibangun dengan mengembangkan model Ibarg¨uen-Mondrag´on dkk. (2018). Model matematika yang menjelaskan dampak interaksi Mtb terhadap prevalensi infeksi. Pertumbuhan populasi Mtb dipengaruhi oleh replikasi bakteri di luar makrofag (ekstraseluler) dan di dalam makrofag (intraseluler).

Gambar 1 Diagram kompartemen pertumbuhan infeksi Mycobacterium tuber-culosis di dalam paru-paru. (Dewanti dkk, 2025)
Penelitian ini juga menjelaskan dampak persaingan infeksi Mtb dan respon yang dimediasi respon sel imun. Respon sel imun tertentu yang dipicu oleh sel makrofag sehat, sel makrofag terinfeksi dan sel makrofag teraktivasi serta sel imun. Kesembuhan pasien tuberkulosis (TB) laten dan TB aktif sangat dipengaruhi oleh kondisi sistem imun dari tubuh setiap pasien. Apabila sistem imun pasien sangat baik, sel imun dapat melawan bakteri Mtb dengan tuntas sehingga infeksi TB hilang dan pasien dinyatakan sembuh. Namun, apabila sistem imun pasien kurang baik, pengobatan TB dapat dilakukan. Hal ini mendorong untuk dilakukan kajian tentang interaksi bakteri Mtb dengan sel imun di dalam tubuh. Dinamika interaksi bakteri Mtb dengan sel imun diperlukan untuk mengetahui bagaimana proses interaksi antara keduanya. Lebih lanjut, dari model di dalam individu yang dibangun, diharapkan dapat diketahui level imun minimal tubuh agar bakteri Mtb tidak berkembang dan menyebabkan TB aktif.

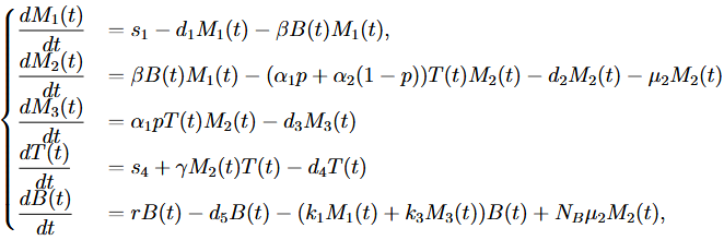
Gambar 2 Sistem persamaan diferensial tak linier model pertumbuhan infeksi Mtb di dalam paru-paru
Hasil penelitian ini menunjukkan bahwa angka reproduksi dasar sangat rentan terhadap persaingan bakteri Mtb dan sel makrofag serta sel imun. Bilangan reproduksi dasar yang dinotasikan dengan ℜ0, yaitu rata-rata jumlah infeksi sekunder yang dihasilkan oleh satu partikel infeksius pada subpopulasi rentan sepanjang periode infeksi. Temuan ini dapat membantu menjelaskan bahwa sistem kekebalan perlu menjalankan mekanisme pertahanan yang lebih kuat untuk mencegah infeksi Mtb, karena respons makrofag saja tidak cukup untuk menghentikan invasi awal bakteri. Aktivitas sel imun (T) dan sel makrofag memungkinkan pengaturan pertumbuhan bakteri dan respons imunologis yang terjadi bersamaan dengan pembentukan granuloma (Sugawara dkk., 2006). Temuan teoritis ini menunjukkan bahwa kecenderungan menuju titik kesetimbangan endemik, yang berarti populasi bakteri, sel makrofag dan sel imun hidup berdampingan. Kondisi ℜ0 > 1 telah dipastikan terpenuhi, sehingga menghasilkan titik kesetimbangan endemik yang stabil secara asimtotik lokal. Namun sebaliknya, Kondisi ℜ0 < 1 yang mengindikasi bahwa sel imun dan sel makrofag mampu menghilangkan infeksi bakteri Mtb dan menghasilkan titik kesetimbangan bebas penyakit yang stabil secara asimtotik lokal.
Anggota :
1. Kartika Nugraheni, S.Si., M.Si. (Matematika/JSAD/ITK)
2. Winarni, S.Si., M.Si. (Matematika/JSAD/ITK)
3. Muhammad Fakhruddin (BRIN)
1. Membangun dan menganalisis model pertumbuhan infeksi bakteri Mtb di dalam paru-paru,
2. Menentukan kondisi sel imun dalam upaya menghilangkan infeksi bakteri Mtb dalam tubuh.