Ketika memanggang kue, selalu muncul banyak perdebatan tentang bagaimana mendapatkan hasil terbaik tanpa mengorbankan efisiensi. Pada loyang persegi panjang, panas terkonsentrasi di keempat sudut, menyebabkan bagian tersebut terlalu matang (dan sebagian kecil juga terjadi pada bagian tepinya). Sebaliknya, loyang bundar secara teoritis mendistribusikan panas secara merata di sepanjang tepi luar, sehingga mencegah bagian tepi menjadi terlalu matang. Namun, karena sebagian besar oven berbentuk persegi panjang, penggunaan loyang bundar menjadi tidak efisien dalam hal pemanfaatan ruang oven. Kami bertujuan untuk menentukan bentuk loyang terbaik yang memaksimalkan volume sekaligus memastikan distribusi panas yang optimal.
Asumsi model terutama berfokus pada distribusi panas di dalam oven. Pertama, oven dipanaskan terlebih dahulu hingga mencapai suhu konstan sebelum loyang dimasukkan, sehingga memastikan distribusi panas yang merata. Kami mempertimbangkan distribusi panas dalam dua dimensi, di mana adonan dipanggang melalui konduksi dari loyang yang berperan sebagai sumber panas. Selain itu, kami mengasumsikan bahwa loyang mempertahankan suhu konstan ketika proses pemanggangan dimulai. Untuk konfigurasi oven, kami berasumsi bahwa oven berukuran cukup besar dan hanya memiliki satu tingkat.
Asumsi bahwa oven berukuran cukup besar menghasilkan beberapa poin penting terkait seberapa baik proses pemanggangan dapat berlangsung. Efisiensi pemanggangan suatu loyang berbanding lurus dengan kemampuannya dalam melakukan tesselasi pada bidang 2D. Ketika ukuran oven bertambah besar, semakin banyak ruang yang tersedia untuk mengisi oven dengan pola tesselasi dari suatu bentuk. Akibatnya, pada oven berukuran besar, bagian tengah akan terisi penuh oleh pola tesselasi, menyisakan hanya sedikit celah antara pola tesselasi tersebut dan tepi oven. Namun, seiring ukuran oven semakin besar, rasio antara luas celah dan luas pola tesselasi menjadi sangat kecil hingga dapat diabaikan. Oleh karena itu, untuk oven yang cukup besar, efisiensi pemanggangan sebanding dengan kerapatan pola tesselasi pada bidang 2D.
Satu-satunya poligon beraturan yang dapat melakukan tesselasi pada bidang 2D adalah segitiga, persegi, dan heksagon. Telah diamati dan dikonfirmasi bahwa sudut yang lebih tajam menghasilkan distribusi panas yang lebih tidak merata. Oleh karena itu, untuk oven berukuran sangat besar, loyang heksagonal merupakan pilihan terbaik. Karena lingkaran secara teoretis memberikan distribusi panas yang paling merata, kita perlu mencari cara yang efisien untuk menyusun lingkaran pada permukaan datar. Kita juga perlu mempertimbangkan bentuk-bentuk transisi antara lingkaran dan heksagon.
Dalam membentuk ukuran pan, gunakan persamaan berikut:

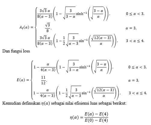
Kita mengambil setengah bagian atas dari segmen ini pada x∈-√34,√34 kemudian memutar segmen tersebut sebesar k π3 untuk k={ 0,1,2,3,4,5} dengan pusat di (0,1) untuk membentuk bentuk loyang. Parameter α akan digunakan untuk menentukan bentuknya. Untuk α=0, bentuknya adalah heksagon, sedangkan untuk α≥4, bentuknya akan berupa lingkaran. Di sini kita hanya fokus pada α∈[0,4]. Dari pengamatan, semakin besar nilai α, semakin kecil luas A. Kita akan menghitung luas yang hilang untuk menentukan fungsi luas tersebut. Perhatikan bahwa kurva menyinggung garis x=±√3y pada y=14.Tanpa mengurangi keumuman, kita mengasumsikan panjang sisi heksagon adalah 1. Akan diperoleh fungsi luas

Hal ini secara teoretis benar, karena α seharusnya berbanding lurus dengan distribusi panas yang lebih baik. Selanjutnya, kita juga melakukan normalisasi terhadap nilai efisiensi ini dengan menerapkan pemetaan berikut.


Sekarang, kita ingin mengoptimalkan fungsi z pada selang tertutup α∈[0,4]. Karena bentuk fungsinya rumit, nilai optimum diperoleh secara numerik menggunakan Python. Kami memperoleh bahwa fungsi z mencapai nilai maksimum pada α≈3,0596 yang memberikan kesimpulan bahwa bentuk loyang kue terbaik lebih menyerupai lingkaran.

Anggota :
Kartika Nugraheni. S.Si., M.Si.
Winarni, S.Si., M.Si.
Robby, S.Si., M.Si.
1. Menemukan bentuk loyang yang paling efisien secara panas dan ruang.
2. Meningkatkan kualitas pemanggangan dalam loyang
3. Menyediakan kontribusi teoretis melalui model matematika dan simulasi stokastik.